氨氮的测定方法之滴定法的操作步骤
氨 氮
氨氮(NH3-N)以游离氨(NH3)或铵盐(NH4+)形式存在于水中,两者的组成比取决于水的pH值。当pH值偏高时,游离氨的比例较高。反之,则铵盐的比例为高。
水中氨氮的来源主要为生活污水中含氮有机物受微生物作用的分解产物,某些工业废水,如焦化废水和合成氨化肥厂废水等,以及农田排水。此外,在无氧环境中,水中存在的亚硝酸盐亦可受微生物作用,还原为氨。在有氧环境中,水中氨亦可转变为亚硝酸盐、甚至继续转变为硝酸盐。
测定水中各种形态的氮化合物,有助于评价水体被污染和“自净”状况。
氨氮含量较高时,对鱼类则可呈现毒害作用。
1. 方法的选择
氨氮的测定方法,通常有纳氏比色法、苯酚-次氯酸盐(或水杨酸-次氯酸盐)比色法和电极法等。纳氏试剂比色法具操作简便、灵敏等特点,水中钙、镁和铁等金属离子、硫化物、醛和酮类、颜色,以及浑浊等干扰测定,需做相应的预处理,苯酚-次氯酸盐比色法具灵敏、稳定等优点,干扰情况和消除方法同纳氏试剂比色法。电极法通常不需要对水样进行预处理和具测量范围宽等优点。氨氮含量较高时,尚可采用蒸馏﹣酸滴定法。
2.水样的保存
水样采集在聚乙烯瓶或玻璃瓶内,并应尽快分析,必要时可加硫酸将水样酸化至pH<2,于2—5℃下存放。酸化样品应注意防止吸收空气中的氮而遭致污染。
预 处 理
水样带色或浑浊以及含其它一些干扰物质,影响氨氮的测定。为此,在分析时需做适当的预处理。对较清洁的水,可采用絮凝沉淀法,对污染严重的水或工业废水,则以蒸馏法使之消除干扰。
(三) 滴 定 法
GB7478--87
概 述
滴定法仅适用于进行蒸馏预处理的水样。调节水样至pH6.0~7.4范围,加入氧化镁使呈微碱性。加热蒸馏,释出的氨被吸收入硼酸溶液中,以甲基红-亚甲蓝为指示剂,用酸标准溶液滴定馏出液中的铵。
当水样中含有在此条件下,可被蒸馏出并在滴定时能与酸反应的物质,如挥发性胺类等,则将使测定结果偏高。
试 剂
(1) 混合指示液:
称取200mg甲基红溶于100ml 95%乙醇;另称取100mg亚甲蓝溶于50ml 95%乙醇。以两份甲基红溶液与一份亚甲蓝溶液混合后供用。混合液一个月配制一次。
注: 为使滴定终点明显,必要时添加少量甲基红溶液于混合指示液中,以调节二者的比例至合适为止。
(2) 硫酸标准溶液(1/2H2SO4=0.020mol/L):
分取5.6ml(1+9)硫酸溶液于1000ml容量瓶中,稀释至标线,混匀。按下述操作进行标定。
称取经180℃干燥2h的基准试剂级无水碳酸钠(Na2CO3)约0.5g(称准至0.0001g),溶于新煮沸放冷的水中,移入500ml容量瓶中,稀释至标线。移取25.00ml碳酸钠溶液于150ml锥形瓶中,加25ml水,加1滴0.05%甲基橙指示液,用硫酸溶液滴定至淡橙红色止。记录用量,用下列公式计算,硫酸溶液的浓度。
硫酸溶液浓度(1/2H2SO4,mol/L)= .png)
式中,W—碳酸钠的重量(g);
V—硫酸溶液体积(ml)。
(3)0.05%甲基橙指示液。
步 骤
1. 水样的测定
于全部经蒸馏预处理、以硼酸溶液为吸收液的馏出液中,加2滴混合指示液,用0.020mol/L硫酸溶液滴定至绿色转变成淡紫色止,记录用量。
2. 空白试验
以无氨水代替水样,同水样全程序步骤进行测定。
计 算
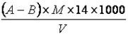
氨氮(N,mg/L)= .png)
式中,A—滴定水样时消耗硫酸溶液体积(ml);
B—空白试验硫酸溶液体积(ml);
M—硫酸溶液浓度(mol/L);
V—水样体积(ml);
14—氨氮(N)摩尔质量。